Home Browse Text SearchFunctional Group SearchStructure SearchPreferences Administration

selected data collection: 1

IRIS SDF: browse content


1
  <<    <    >    >>  

1:711945 C48H46N2O6
hit structure
1:711946 C33H39NO7
hit structure
1:711947 C26H27NO5
hit structure
1:711948 C49H45N3O5
hit structure
1:711949 C30H35NO5
hit structure
1:711950 C30H35NO5
hit structure
1:711951 C35H44N2O7
hit structure
1:711952 C29H33NO5S
hit structure
1:711953 C30H35NO5
hit structure
1:711954 C34H42N2O7
hit structure
1:711955 C33H33NO5
hit structure
1:711956 C29H31NO5
hit structure
1:711957 C31H37NO6
hit structure
1:711958 C32H39NO6
hit structure
1:711959 C37H41NO6
hit structure
1:711960 C29H33NO5
hit structure
1:711961 C40H42N2O7
hit structure
1:711962 C89H91N7O14
hit structure
1:711963 C96H98N8O15
hit structure
1:711964 C25H50N4O6
hit structure
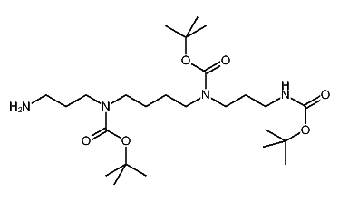
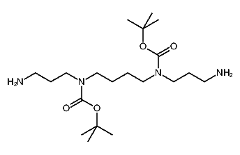
1:711965 C20H42N4O4
hit structure
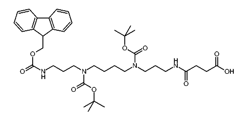
1:711966 C39H56N4O9
hit structure
1:711967 C10H24N6
hit structure
1:711968 C31H58N4O10
hit structure
1:711969 C20H42N4O4
hit structure

1
  <<    <    >    >>  

entries in data collection: 712280