Home Browse Text SearchFunctional Group SearchStructure SearchPreferences Administration

selected data collection: 1

IRIS SDF: browse content


1
  <<    <    >    >>  

1:711737 C30H57N3O13
hit structure
1:711738 C50H61N3O13
hit structure
1:711739 C13H26N2O5
hit structure
1:711740 C28H31NO5S
hit structure
1:711741 C13H8O3
hit structure
1:711742 C8H5N3S
hit structure
1:711743 C6H3Br2NO4
hit structure
1:711744 C8H8Br2N2O4
hit structure
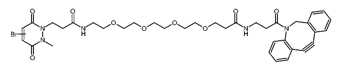
1:711745 C37H43Br2N5O9
hit structure
1:711746 C6H4BrNO4
hit structure
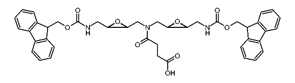
1:711747 C35H39BrN4O9
hit structure
1:711748 C9H13BrN2O4
hit structure
1:711749 C38H48BrN5O9
hit structure
1:711750 C32H36N2O8
hit structure
1:711751 C23H20N2O2
hit structure
1:711752 C30H34N2O6
hit structure
1:711753 C16H15N3O
hit structure
1:711754 C21H25N3O5
hit structure
1:711755 C19H21N5O2S
hit structure
1:711756 C30H42N6O7S
hit structure
1:711757 C7H5N3O3
hit structure
1:711758 C7H8N2O5
hit structure
1:711759 C11H15NO4
hit structure
1:711760 C21H19NO2
hit structure
1:711761 C10H14O3
hit structure

1
  <<    <    >    >>  

entries in data collection: 712280