Home Browse Text SearchFunctional Group SearchStructure SearchPreferences Administration

selected data collection: 1

IRIS SDF: browse content


1
  <<    <    >    >>  

1:711688 C8H14N4O3
hit structure
1:711689 C12H22N4O7
hit structure
1:711690 C23H28N4O5
hit structure
1:711691 C23H30N2O5
hit structure
1:711692 C27H34N2O8
hit structure
1:711693 C27H34N2O9
hit structure
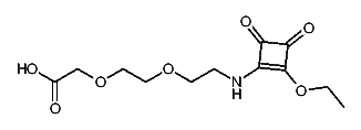
1:711694 C14H22N4O6
hit structure
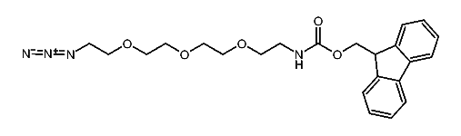
1:711695 C12H17NO7
hit structure
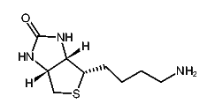
1:711696 C8H15N3O2
hit structure
1:711697 C12H22F6N6OP2
hit structure
1:711698 C12H17NO5Si
hit structure
1:711699 C5H6N2O
hit structure
1:711700 C24H37N5O3S3
hit structure
1:711701 C20H29N5O5S
hit structure
1:711702 C23H33N5O7S
hit structure
1:711703 C22H34N4O5S
hit structure
1:711704 C9H17N3OS
hit structure
1:711705 C20H17Cl
hit structure
1:711706 C6H7ClIN
hit structure
1:711707 C8H9NO2
hit structure
1:711708 C22H20O2S
hit structure
1:711709 C16H15F5N2O3S
hit structure
1:711710 C17H24N6O5
hit structure
1:711711 C18H23N3O5
hit structure
1:711712 C27H40N6O7S
hit structure

1
  <<    <    >    >>  

entries in data collection: 1133640