Home Browse Text SearchFunctional Group SearchStructure SearchPreferences Administration

selected data collection: 1

IRIS SDF: browse content


1
  <<    <    >    >>  

1:711611 C16H32ClN3O5
hit structure
1:711612 C9H9N3O2
hit structure
1:711613 C10H19NO5
hit structure
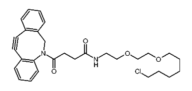
1:711614 C29H35ClN2O4
hit structure
1:711615 C10H22ClNO2
hit structure
1:711616 C14H30ClNO4
hit structure
1:711617 C10H20ClN3O2
hit structure
1:711618 C14H28ClN3O4
hit structure
1:711619 C16H26N2O2
hit structure
1:711620 C16H30N2O2
hit structure
1:711621 C18H34N2O2
hit structure
1:711622 C18H30N2O2
hit structure
1:711623 C29H31NO6
hit structure
1:711624 C30H29NO6
hit structure
1:711625 C28H29NO6
hit structure
1:711626 C30H31NO6
hit structure
1:711627 C20H35NO4
hit structure
1:711628 C22H19N3O7S2
hit structure
1:711629 C58H62N8O5S
hit structure
1:711630 C18H20N6O4
hit structure
1:711631 C57H62N6O5S
hit structure
1:711632 C27H21N3O7S2
hit structure
1:711633 C29H39N9O4S
hit structure
1:711634 C28H39N7O4S
hit structure
1:711635 C22H26F5N3O4S
hit structure

1
  <<    <    >    >>  

entries in data collection: 712280