Home Browse Text SearchFunctional Group SearchStructure SearchPreferences Administration

selected data collection: 1

IRIS SDF: browse content


1
  <<    <    >    >>  

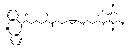
1:711052 C53H70F4N2O16
hit structure
1:711053 C77H118F4N2O28
hit structure
1:711054 C101H166F4N2O40
hit structure
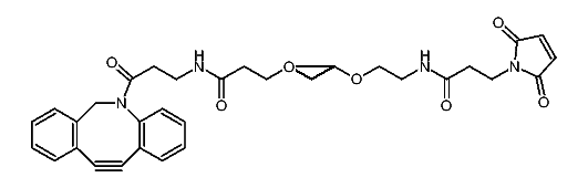
1:711055 C52H74N4O17
hit structure
1:711056 C76H122N4O29
hit structure
1:711057 C31H38BrN3O7
hit structure
1:711058 C25H37N7O6S
hit structure
1:711059 C47H70BrN3O15
hit structure
1:711060 C23H38N4O6S
hit structure
1:711061 C71H118BrN3O27
hit structure
1:711062 C11H17NO5
hit structure
1:711063 C55H83N5O16S
hit structure
1:711064 C33H45N3O12
hit structure
1:711065 C66H79N3O20
hit structure
1:711066 C13H28N2O5
hit structure
1:711067 C75H141N2O26P
hit structure
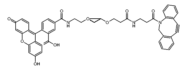
1:711068 C45H73F4N5O13
hit structure
1:711069 C69H136NO22P
hit structure
1:711070 C61H105F4N5O21
hit structure
1:711071 C108H203F4NO51
hit structure
1:711072 C85H153F4N5O33
hit structure
1:711073 C53H105NO27
hit structure
1:711074 C33H49F4N5O13
hit structure
1:711075 C59H105F4NO27
hit structure
1:711076 C49H81F4N5O21
hit structure

1
  <<    <    >    >>  

entries in data collection: 712280