Home Browse Text SearchFunctional Group SearchStructure SearchPreferences Administration

selected data collection: 1

IRIS SDF: browse content


1
  <<    <    >    >>  

1:711002 C25H44N4O8S
hit structure
1:711003 C10H18N4O5
hit structure
1:711004 C10H21N3O5
hit structure
1:711005 C16H34O8S
hit structure
1:711006 C10H22N4O4
hit structure
1:711007 C4H9N3O2
hit structure
1:711008 C4H9N3O2
hit structure
1:711009 C4H9N3O2
hit structure
1:711010 C4H9N3O2
hit structure
1:711011 C21H25NO5
hit structure
1:711012 C23H29NO6
hit structure
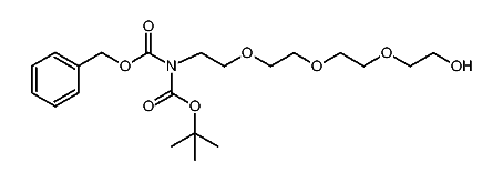
1:711013 C21H33NO8
hit structure
1:711014 C10H19N3O4
hit structure
1:711015 C8H15N3O5
hit structure
1:711016 C18H27NO9
hit structure
1:711017 C11H21NO4
hit structure
1:711018 C18H26N2O7
hit structure
1:711019 C4H10O2S
hit structure
1:711020 C4H10O2S
hit structure
1:711021 C4H10O2S
hit structure
1:711022 C15H20N2O5
hit structure
1:711023 C15H20N2O5
hit structure
1:711024 C15H20N2O5
hit structure
1:711025 C15H20N2O5
hit structure
1:711026 C20H30N4O6S
hit structure

1
  <<    <    >    >>  

entries in data collection: 712280