Home Browse Text SearchFunctional Group SearchStructure SearchPreferences Administration

selected data collection: 1

IRIS SDF: browse content


1
  <<    <    >    >>  

1:710900 C26H52O13S
hit structure
1:710901 C22H36N2O11
hit structure
1:710902 C87H161N3O41S2
hit structure
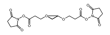
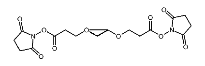
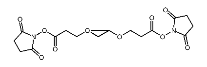
1:710903 C26H40N2O15
hit structure
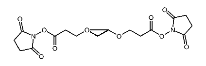
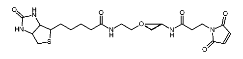
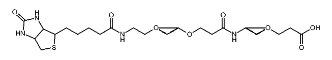
1:710904 C38H64N2O21
hit structure
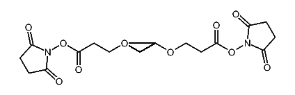
1:710905 C46H80N2O25
hit structure
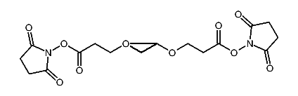
1:710906 C54H96N2O29
hit structure
1:710907 C62H112N2O33
hit structure
1:710908 C24H22F8O8
hit structure
1:710909 C66H106F8O29
hit structure
1:710910 C16H20N2O10
hit structure
1:710911 C18H24N2O11
hit structure
1:710912 C19H37N3O10
hit structure
1:710913 C27H53N3O14
hit structure
1:710914 C51H101N3O26
hit structure
1:710915 C24H49N3O11
hit structure
1:710916 C32H65N3O15
hit structure
1:710917 C65H120N4O30S
hit structure
1:710918 C61H117N3O28S
hit structure
1:710919 C112H218N4O53S
hit structure
1:710920 C26H50N4O9S
hit structure
1:710921 C34H66N4O13S
hit structure
1:710922 C58H114N4O25S
hit structure
1:710923 C65H119N5O28S
hit structure
1:710924 C26H48N6O9S
hit structure

1
  <<    <    >    >>  

entries in data collection: 712280