Home Browse Text SearchFunctional Group SearchStructure SearchPreferences Administration

selected data collection: 1

IRIS SDF: browse content


1
  <<    <    >    >>  

1:710704 C38H63N3O19
hit structure
1:710705 C14H20N2O7
hit structure
1:710706 C18H23N3O9
hit structure
1:710707 C62H111N3O31
hit structure
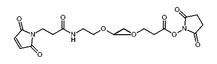
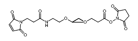
1:710708 C18H28N2O9
hit structure
1:710709 C22H31N3O11
hit structure
1:710710 C26H39N3O13
hit structure
1:710711 C30H47N3O15
hit structure
1:710712 C41H71N5O16S
hit structure
1:710713 C58H108N2O29
hit structure
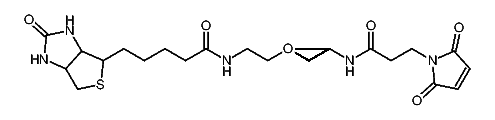
1:710714 C27H43N5O8S
hit structure
1:710715 C26H44N2O13
hit structure
1:710716 C10H20O6
hit structure
1:710717 C18H36O10
hit structure
1:710718 C6H12O4
hit structure
1:710719 C52H104O27
hit structure
1:710720 C25H53NO12
hit structure
1:710721 C25H51N3O12
hit structure
1:710722 C32H58N2O15
hit structure
1:710723 C49H101NO24
hit structure
1:710724 C56H106N2O27
hit structure
1:710725 C9H21NO4
hit structure
1:710726 C9H19N3O4
hit structure
1:710727 C17H37NO8
hit structure
1:710728 C17H35N3O8
hit structure

1
  <<    <    >    >>  

entries in data collection: 1074510