Home Browse Text SearchFunctional Group SearchStructure SearchPreferences Administration

selected data collection: 1

IRIS SDF: browse content


1
  <<    <    >    >>  

1:710138 C4H8N4O2
hit structure
1:710139 C5H9N3O2
hit structure
1:710140 C6H9N3O2S
hit structure
1:710141 C8H13F2N5O3
hit structure
1:710142 C12H24N2O3
hit structure
1:710143 C25H32N2O4
hit structure
1:710144 C11H14N4O3
hit structure
1:710145 C14H19N5O4
hit structure
1:710146 C12H16N2O6S
hit structure
1:710147 C21H35NO3
hit structure
1:710148 C21H21N5O5
hit structure
1:710149 C8H15N5O3
hit structure
1:710150 C6H12N2O4Se2
hit structure
1:710151 C12H14N2O6Se
hit structure
1:710152 C14H19N5O4
hit structure
1:710153 C14H19N5O4
hit structure
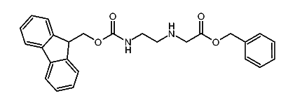
1:710154 C25H32N2O4
hit structure
1:710155 C12H20N2O5
hit structure
1:710156 C11H18N2O3
hit structure
1:710157 C9H15N3O2
hit structure
1:710158 C26H26N2O4
hit structure
1:710159 C12H26N2O4Si
hit structure
1:710160 C10H12N2O4Se
hit structure
1:710161 C12H13N5O2
hit structure
1:710162 C11H14N2O4Se
hit structure

1
  <<    <    >    >>  

entries in data collection: 1146780