Home Browse Text SearchFunctional Group SearchStructure SearchPreferences Administration

selected data collection: 1

IRIS SDF: browse content


1
  <<    <    >    >>  

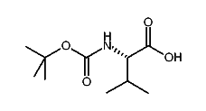
1:707035 C10H17NO4
hit structure
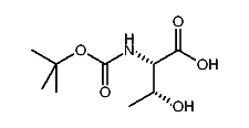
1:707036 C15H21NO5
hit structure
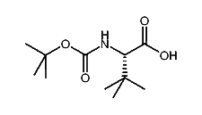
1:707037 C8H15NO5
hit structure
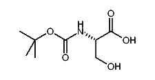
1:707038 C16H23NO5
hit structure
1:707039 C9H17NO5
hit structure
1:707040 C9H15NO4S
hit structure
1:707041 C15H19NO4
hit structure
1:707042 C11H21NO4
hit structure
1:707043 C21H28N2O6
hit structure
1:707044 C17H20N2O5
hit structure
1:707045 C16H20N2O4
hit structure
1:707046 C22H24BrNO7
hit structure
1:707047 C17H23NO5
hit structure
1:707048 C21H25NO5
hit structure
1:707049 C14H19NO5
hit structure
1:707050 C10H19NO4
hit structure
1:707051 C11H19NO4
hit structure
1:707052 C18H23N3O6S
hit structure
1:707053 C17H19N5O8
hit structure
1:707054 C17H24N2O6
hit structure
1:707055 C12H20N2O6
hit structure
1:707056 C12H20N2O6
hit structure
1:707057 C10H17BrN2O5
hit structure
1:707058 C14H18N4O8
hit structure
1:707059 C16H22N2O6
hit structure

1
  <<    <    >    >>  

entries in data collection: 723540