Home Browse Text SearchFunctional Group SearchStructure SearchPreferences Administration

selected data collection: 1

IRIS SDF: browse content


1
  <<    <    >    >>  

1:706036 C36H35BN2O13
hit structure
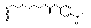
1:706037 C11H12N4O5S2
hit structure
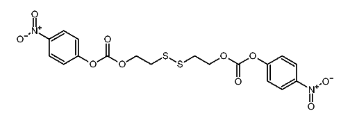
1:706038 C18H16N2O10S2
hit structure
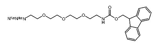
1:706039 C19H14N2O4S3
hit structure
1:706040 C10H17NOS
hit structure
1:706041 C13H22N2O2S
hit structure
1:706042 C14H21NO4S
hit structure
1:706043 C18H34N4O5S
hit structure
1:706044 C10H8N4OS
hit structure
1:706045 C20H22N6O3S2
hit structure
1:706046 C23H28N6O3S2
hit structure
1:706047 C31H43N7O8S2
hit structure
1:706048 C31H19N5O6S2
hit structure
1:706049 C55H56N6O5S2
hit structure
1:706050 C15H12N4O2S
hit structure
1:706051 C15H15N7O2S
hit structure
1:706052 C12H9N3O3S
hit structure
1:706053 C30H23N5O3S
hit structure
1:706054 C12H22N4O6
hit structure
1:706055 C15H20N2O5S
hit structure
1:706056 C16H12N2O6
hit structure
1:706057 C7H12N4O3
hit structure
1:706058 C8H14N4O3
hit structure
1:706059 C12H22N4O7
hit structure
1:706060 C23H28N4O5
hit structure

1
  <<    <    >    >>  

entries in data collection: 706650