Home Browse Text SearchFunctional Group SearchStructure SearchPreferences Administration

selected data collection: 1

IRIS SDF: browse content


1
  <<    <    >    >>  

1:705585 C28H34N2O6
hit structure
1:705586 C45H43N3O7
hit structure
1:705587 C31H38N2O8
hit structure
1:705588 C29H36N2O7
hit structure
1:705589 C27H32N2O6
hit structure
1:705590 C38H41N3O8
hit structure
1:705591 C40H42N2O8S
hit structure
1:705592 C32H34N2O7S
hit structure
1:705593 C49H44N2O7S2
hit structure
1:705594 C40H49N5O9S
hit structure
1:705595 C41H51N5O9S
hit structure
1:705596 C27H32N2O6S
hit structure
1:705597 C26H30N2O6S
hit structure
1:705598 C11H19NO5
hit structure
1:705599 C12H21NO5
hit structure
1:705600 C22H23NO5
hit structure
1:705601 C25H27N3O7
hit structure
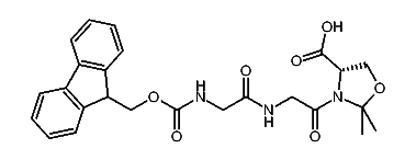
1:705602 C13H19N3O5
hit structure
1:705603 C96H161N21O24
hit structure
1:705604 C91H158N26O26
hit structure
1:705605 C180H311N51O51
hit structure
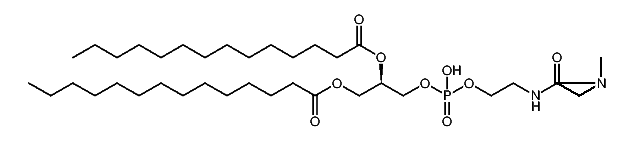
1:705606 C185H318N51O59P
hit structure
1:705607 C89H156N26O25
hit structure
1:705608 C178H309N51O50
hit structure
1:705609 C183H316N51O58P
hit structure

1
  <<    <    >    >>  

entries in data collection: 706650