Home Browse Text SearchFunctional Group SearchStructure SearchPreferences Administration

selected data collection: 1

IRIS SDF: browse content


1
  <<    <    >    >>  

1:705485 C10H24N4O5S
hit structure
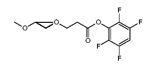
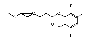
1:705486 C17H22F4O7
hit structure
1:705487 C33H54F4O15
hit structure
1:705488 C57H102F4O27
hit structure
1:705489 C94H149N5O39
hit structure
1:705490 C32H52F4O14
hit structure
1:705491 C56H100F4O26
hit structure
1:705492 C58H104F4O27
hit structure
1:705493 C68H114N2O26
hit structure
1:705494 C45H68N2O14
hit structure
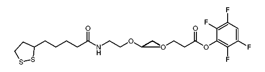
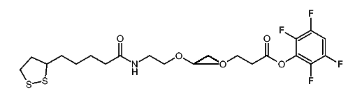
1:705495 C25H35F4NO7S2
hit structure
1:705496 C33H51F4NO11S2
hit structure
1:705497 C41H67F4NO15S2
hit structure
1:705498 C65H115F4NO27S2
hit structure
1:705499 C89H163F4NO39S2
hit structure
1:705500 C66H126N4O26S3
hit structure
1:705501 C20H20F4N2O7
hit structure
1:705502 C24H28F4N2O9
hit structure
1:705503 C32H44F4N2O13
hit structure
1:705504 C40H60F4N2O17
hit structure
1:705505 C64H108F4N2O29
hit structure
1:705506 C88H156F4N2O41
hit structure
1:705507 C115H209F4N3O54
hit structure
1:705508 C19H24BrF4NO7
hit structure
1:705509 C35H56BrF4NO15
hit structure

1
  <<    <    >    >>  

entries in data collection: 706650