Home Browse Text SearchFunctional Group SearchStructure SearchPreferences Administration

selected data collection: 1

IRIS SDF: browse content


1
  <<    <    >    >>  

1:702961 C21H18F3NO4
hit structure
1:702962 C27H24FNO4
hit structure
1:702963 C26H30N2O6
hit structure
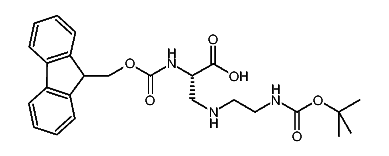
1:702964 C27H32N2O6
hit structure
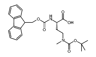
1:702965 C27H32N2O6
hit structure
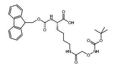
1:702966 C28H35N3O8
hit structure
1:702967 C25H31N3O6
hit structure
1:702968 C23H25NO6
hit structure
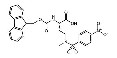
1:702969 C32H31N3O8S
hit structure
1:702970 C25H30N2O6
hit structure
1:702971 C20H22N2O4
hit structure
1:702972 C26H32N2O6
hit structure
1:702973 C22H26N2O4
hit structure
1:702974 C24H19F2NO4
hit structure
1:702975 C18H16FNO4
hit structure
1:702976 C18H16FNO4
hit structure
1:702977 C48H40F2N2O8
hit structure
1:702978 C26H25N3O8S
hit structure
1:702979 C30H23F2NO4
hit structure
1:702980 C26H25N3O8S
hit structure
1:702981 C24H18F9NO5
hit structure
1:702982 C24H18F9NO5
hit structure
1:702983 C20H18F3NO4S
hit structure
1:702984 C30H39N3O8
hit structure
1:702985 C20H19N3O4
hit structure

1
  <<    <    >    >>  

entries in data collection: 706650