Home Browse Text SearchFunctional Group SearchStructure SearchPreferences Administration

selected data collection: 1

IRIS SDF: browse content


1
  <<    <    >    >>  

1:702858 C19H18N4O4
hit structure
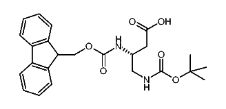
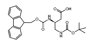
1:702859 C25H28N2O6
hit structure
1:702860 C25H28N2O6
hit structure
1:702861 C23H24N2O6
hit structure
1:702862 C24H28N2O6
hit structure
1:702863 C24H28N2O6
hit structure
1:702864 C26H31NO6
hit structure
1:702865 C25H28N2O6
hit structure
1:702866 C21H21NO4
hit structure
1:702867 C21H21NO4
hit structure
1:702868 C22H23NO4
hit structure
1:702869 C22H23NO4
hit structure
1:702870 C26H23NO4
hit structure
1:702871 C26H23NO4
hit structure
1:702872 C26H29NO4
hit structure
1:702873 C39H33NO4S
hit structure
1:702874 C39H33NO4S
hit structure
1:702875 C23H27NO4S2
hit structure
1:702876 C52H46N2O8
hit structure
1:702877 C52H46N2O8
hit structure
1:702878 C35H42N4O7S
hit structure
1:702879 C26H31NO6S
hit structure
1:702880 C22H24N2O6
hit structure
1:702881 C26H25NO6
hit structure
1:702882 C27H27NO7
hit structure

1
  <<    <    >    >>  

entries in data collection: 706650