Home Browse Text SearchFunctional Group SearchStructure SearchPreferences Administration

selected data collection: 1

IRIS SDF: browse content


1
  <<    <    >    >>  

1:700779 C65H54N2O5S
hit structure
1:700780 C67H57N3O6
hit structure
1:700781 C52H50N2O7
hit structure
1:700782 C68H56N4O5
hit structure
1:700783 C55H56N2O7
hit structure
1:700784 C50H48N2O6
hit structure
1:700785 C51H50N2O6
hit structure
1:700786 C56H52N2O6
hit structure
1:700787 C63H65N5O8S
hit structure
1:700788 C62H63N5O8S
hit structure
1:700789 C50H48N2O5S2
hit structure
1:700790 C65H54N2O6
hit structure
1:700791 C66H56N2O6
hit structure
1:700792 C59H53N3O7
hit structure
1:700793 C57(13C)5H63N(15N
hit structure
1:700794 C43(13C)6H46N(15N
hit structure
1:700795 C48(13C)6H55N(15N
hit structure
1:700796 C43(13C)5H44N(15N
hit structure
1:700797 C9H25NO
hit structure
1:700798 C25H30N2
hit structure
1:700799 C21H21NS
hit structure
1:700800 C61H66N4O10
hit structure
1:700801 C46H60N4O13
hit structure
1:700802 C125H120N6O22
hit structure
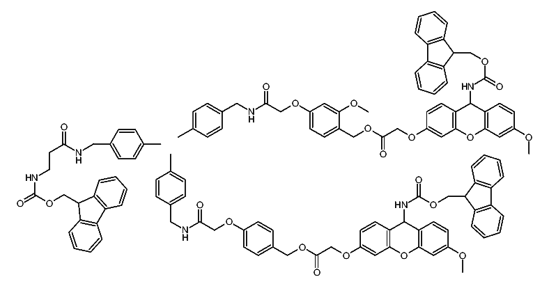
1:700803 C110H114N6O25
hit structure

1
  <<    <    >    >>  

entries in data collection: 1179630