Home Browse Text SearchFunctional Group SearchStructure SearchPreferences Administration

selected data collection: 1

IRIS SDF: browse content


1
  <<    <    >    >>  

1:700701 C40H42N2O7
hit structure
1:700702 C89H91N7O14
hit structure
1:700703 C96H98N8O15
hit structure
1:700704 C25H50N4O6
hit structure
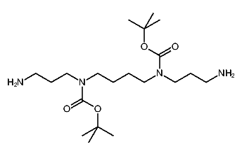
1:700705 C20H42N4O4
hit structure
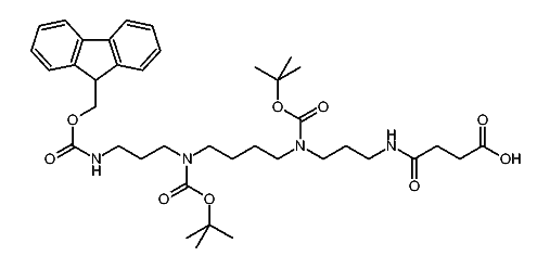
1:700706 C39H56N4O9
hit structure
1:700707 C10H24N6
hit structure
1:700708 C31H58N4O10
hit structure
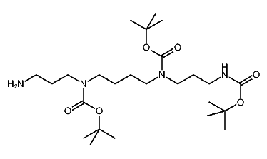
1:700709 C20H42N4O4
hit structure
1:700710 C10H22N8
hit structure
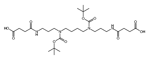
1:700711 C29H54N4O9
hit structure
1:700712 C25H48N6O6
hit structure
1:700713 C28H50N4O10
hit structure
1:700714 CH2Cl2
hit structure
1:700715 C3H7NO
hit structure
1:700716 C4H10O
hit structure
1:700717 C3H2F6O
hit structure
1:700718 C5H9NO
hit structure
1:700719 C5H11N
hit structure
1:700720 C2HF3O2
hit structure
1:700721 C2H3F3O
hit structure
1:700722 C5H9NO
hit structure
1:700723 C6H14O3S
hit structure
1:700724 C19H17P
hit structure
1:700725 C7H7ClO2S
hit structure

1
  <<    <    >    >>  

entries in data collection: 701020