Home Browse Text SearchFunctional Group SearchStructure SearchPreferences Administration

selected data collection: 1

IRIS SDF: browse content


1
  <<    <    >    >>  

1:700466 C11H16N2O4
hit structure
1:700467 C19H21N3O10
hit structure
1:700468 C9H10O3S
hit structure
1:700469 C26H38N4O7S
hit structure
1:700470 C16H22N4O5
hit structure
1:700471 C19H25NO6
hit structure
1:700472 C10H15N3O2
hit structure
1:700473 C13H28BrN5O4
hit structure
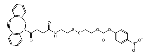
1:700474 C31H26N2O7S2
hit structure
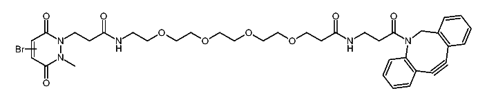
1:700475 C35H29N3O7S2
hit structure
1:700476 C30H27N3O7S2
hit structure
1:700477 C30H57N3O13
hit structure
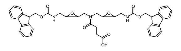
1:700478 C50H61N3O13
hit structure
1:700479 C13H26N2O5
hit structure
1:700480 C28H31NO5S
hit structure
1:700481 C13H8O3
hit structure
1:700482 C8H5N3S
hit structure
1:700483 C6H3Br2NO4
hit structure
1:700484 C8H8Br2N2O4
hit structure
1:700485 C37H43Br2N5O9
hit structure
1:700486 C6H4BrNO4
hit structure
1:700487 C35H39BrN4O9
hit structure
1:700488 C9H13BrN2O4
hit structure
1:700489 C38H48BrN5O9
hit structure
1:700490 C32H36N2O8
hit structure

1
  <<    <    >    >>  

entries in data collection: 1127070