Home Browse Text SearchFunctional Group SearchStructure SearchPreferences Administration

selected data collection: 1

IRIS SDF: browse content


1
  <<    <    >    >>  

1:700335 C15H21NO4
hit structure
1:700336 C28H31N3O8
hit structure
1:700337 C12H18N4O4
hit structure
1:700338 C13H19N3O2S
hit structure
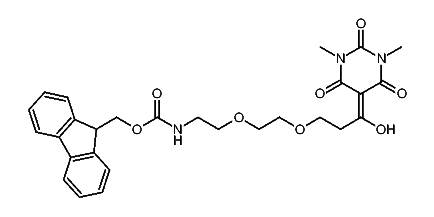
1:700339 C14H12N2O5S2
hit structure
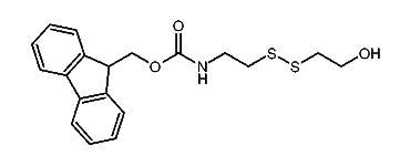
1:700340 C9H19NO3S2
hit structure
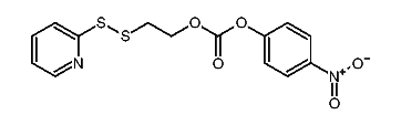
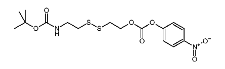
1:700341 C16H22N2O7S2
hit structure
1:700342 C19H21NO3S2
hit structure
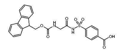
1:700343 C26H24N2O7S2
hit structure
1:700344 C19H14N2O5S2
hit structure
1:700345 C14H21NO3S2
hit structure
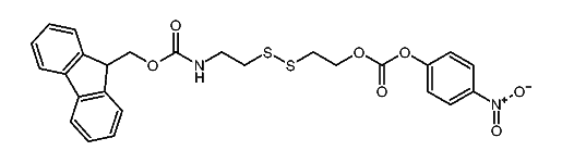
1:700346 C21H24N2O7S2
hit structure
1:700347 C24H23NO3S2
hit structure
1:700348 C9H11BrN2O5
hit structure
1:700349 C8H14N2O2S
hit structure
1:700350 C24H20N2O7S
hit structure
1:700351 C16H32ClN3O5
hit structure
1:700352 C9H9N3O2
hit structure
1:700353 C10H19NO5
hit structure
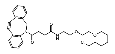
1:700354 C29H35ClN2O4
hit structure
1:700355 C10H22ClNO2
hit structure
1:700356 C14H30ClNO4
hit structure
1:700357 C10H20ClN3O2
hit structure
1:700358 C14H28ClN3O4
hit structure
1:700359 C16H26N2O2
hit structure

1
  <<    <    >    >>  

entries in data collection: 701020