Home Browse Text SearchFunctional Group SearchStructure SearchPreferences Administration

selected data collection: 1

IRIS SDF: browse content


1
  <<    <    >    >>  

1:700216 C5H5NO2
hit structure
1:700217 C11H9NO3
hit structure
1:700218 C18H28F6N6OP2
hit structure
1:700219 C16H22O3S
hit structure
1:700220 C30H30N10
hit structure
1:700221 C20H30N4O6S
hit structure
1:700222 C16H27N3O4S
hit structure
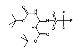
1:700223 C15H28N4O2S
hit structure
1:700224 C7HF4N3O2
hit structure
1:700225 C11H4F4N4O4
hit structure
1:700226 C14H24O2
hit structure
1:700227 C16H28O2
hit structure
1:700228 C18H32O2
hit structure
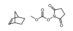
1:700229 C12H13NO5
hit structure
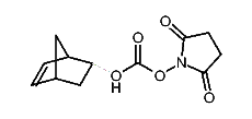
1:700230 C13H15NO5
hit structure
1:700231 C18H16N2O
hit structure
1:700232 C10H8N4O2
hit structure
1:700233 C7H10N4O2
hit structure
1:700234 C13H17NO7
hit structure
1:700235 C12H20F3N3O6S
hit structure
1:700236 C12H17F6N6O2P
hit structure
1:700237 C18H27ClF6N6OP2
hit structure
1:700238 C10H19NO4S2
hit structure
1:700239 C20H21NO4S2
hit structure
1:700240 C18H30N10O3
hit structure

1
  <<    <    >    >>  

entries in data collection: 1133640