Home Browse Text SearchFunctional Group SearchStructure SearchPreferences Administration

selected data collection: 1

IRIS SDF: browse content


1
  <<    <    >    >>  

1:699878 C19H24BrF4NO7
hit structure
1:699879 C35H56BrF4NO15
hit structure
1:699880 C59H104BrF4NO27
hit structure
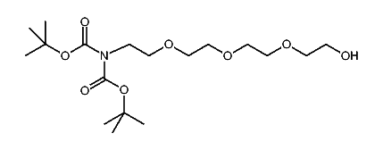
1:699881 C44H70N4O18
hit structure
1:699882 C57H101F4N3O26
hit structure
1:699883 C81H149F4N3O38
hit structure
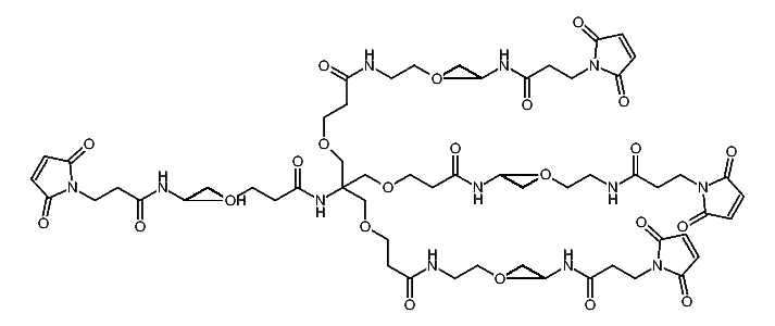
1:699884 C140H246N12O64
hit structure
1:699885 C120H230Br4N8O56
hit structure
1:699886 C53H108N2O25
hit structure
1:699887 C26H45NO15
hit structure
1:699888 C58H109NO31
hit structure
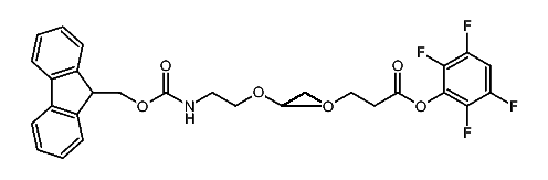
1:699889 C67H117F4N3O28S
hit structure
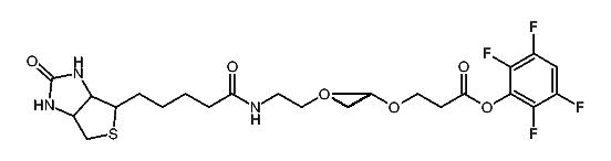
1:699890 C31H44F4N4O9S
hit structure
1:699891 C47H76F4N4O17S
hit structure
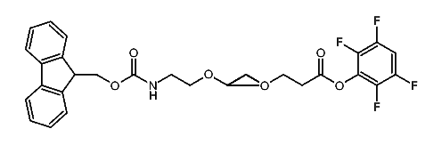
1:699892 C32H33F4NO8
hit structure
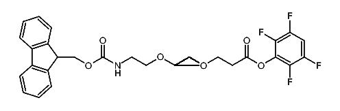
1:699893 C40H49F4NO12
hit structure
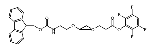
1:699894 C48H65F4NO16
hit structure
1:699895 C72H113F4NO28
hit structure
1:699896 C96H161F4NO40
hit structure
1:699897 C18H35NO8
hit structure
1:699898 C13H28N2O5
hit structure
1:699899 C15H32N2O6
hit structure
1:699900 C72H132N2O34S2
hit structure
1:699901 C9H20N2O3
hit structure
1:699902 C6H13NO4
hit structure

1
  <<    <    >    >>  

entries in data collection: 1153350