Home Browse Text SearchFunctional Group SearchStructure SearchPreferences Administration

selected data collection: 1

IRIS SDF: browse content


1
  <<    <    >    >>  

1:699799 C47H70BrN3O15
hit structure
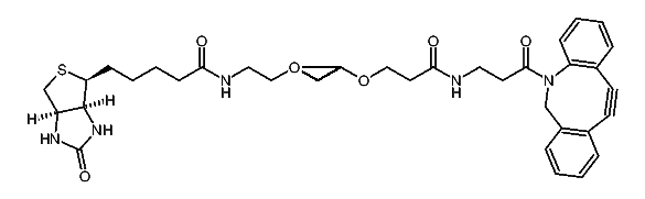
1:699800 C23H38N4O6S
hit structure
1:699801 C71H118BrN3O27
hit structure
1:699802 C11H17NO5
hit structure
1:699803 C55H83N5O16S
hit structure
1:699804 C33H45N3O12
hit structure
1:699805 C66H79N3O20
hit structure
1:699806 C13H28N2O5
hit structure
1:699807 C75H141N2O26P
hit structure
1:699808 C45H73F4N5O13
hit structure
1:699809 C69H136NO22P
hit structure
1:699810 C61H105F4N5O21
hit structure
1:699811 C108H203F4NO51
hit structure
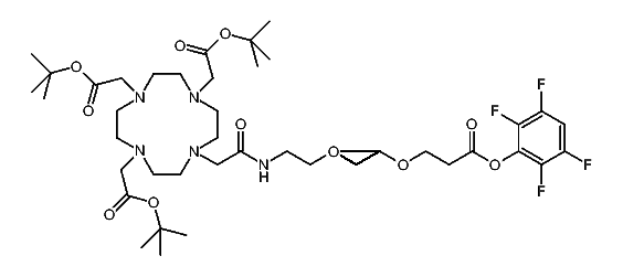
1:699812 C85H153F4N5O33
hit structure
1:699813 C53H105NO27
hit structure
1:699814 C33H49F4N5O13
hit structure
1:699815 C59H105F4NO27
hit structure
1:699816 C49H81F4N5O21
hit structure
1:699817 C24H50N4O12
hit structure
1:699818 C73H129F4N5O33
hit structure
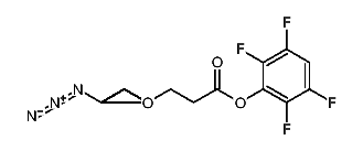
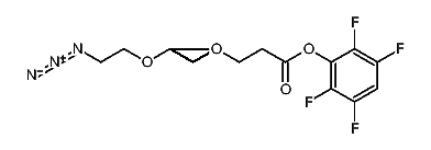
1:699819 C28H36F4N2O11
hit structure
1:699820 C59H107N7O21
hit structure
1:699821 C17H21F4N3O6
hit structure
1:699822 C33H53F4N3O14
hit structure
1:699823 C47H83N7O21
hit structure

1
  <<    <    >    >>  

entries in data collection: 1127070