Home Browse Text SearchFunctional Group SearchStructure SearchPreferences Administration

selected data collection: 1

IRIS SDF: browse content


1
  <<    <    >    >>  

1:699629 C17H33NO5S2
hit structure
1:699630 C25H49NO9S2
hit structure
1:699631 C33H65NO13S2
hit structure
1:699632 C57H113NO25S2
hit structure
1:699633 C33H59NO17S
hit structure
1:699634 C79H159NO38
hit structure
1:699635 C48H99NO24
hit structure
1:699636 C72H147NO36
hit structure
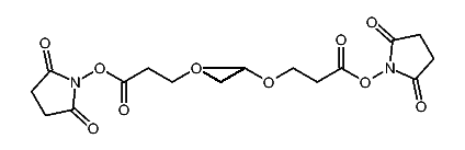
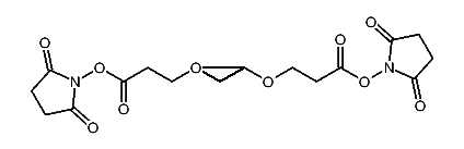
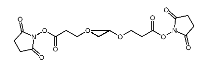
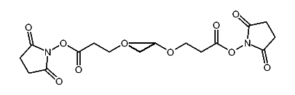
1:699637 C8H17N3O4
hit structure
1:699638 C48H97N3O24
hit structure
1:699639 C72H145N3O36
hit structure
1:699640 C26H52O13S
hit structure
1:699641 C22H36N2O11
hit structure
1:699642 C87H161N3O41S2
hit structure
1:699643 C26H40N2O15
hit structure
1:699644 C38H64N2O21
hit structure
1:699645 C46H80N2O25
hit structure
1:699646 C54H96N2O29
hit structure
1:699647 C62H112N2O33
hit structure
1:699648 C24H22F8O8
hit structure
1:699649 C66H106F8O29
hit structure
1:699650 C16H20N2O10
hit structure
1:699651 C18H24N2O11
hit structure
1:699652 C19H37N3O10
hit structure
1:699653 C27H53N3O14
hit structure

1
  <<    <    >    >>  

entries in data collection: 701020