Home Browse Text SearchFunctional Group SearchStructure SearchPreferences Administration

selected data collection: 1

IRIS SDF: browse content


1
  <<    <    >    >>  

1:696422 C16H33N3O4
hit structure
1:696423 C17H35N3O4
hit structure
1:696424 C17H35N3O4
hit structure
1:696425 C10H22N4O3
hit structure
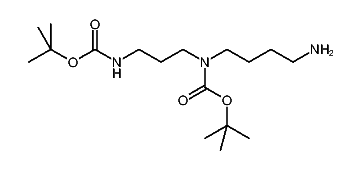
1:696426 C24H50N4O4
hit structure
1:696427 C9H20N2O2S2
hit structure
1:696428 C13H28N2O2
hit structure
1:696429 C14H30N2O2
hit structure
1:696430 C15H32N2O2
hit structure
1:696431 C16H34N2O2
hit structure
1:696432 C17H36N2O2
hit structure
1:696433 C14H27N3O4
hit structure
1:696434 C9H19N3O2
hit structure
1:696435 C9H18N2O3
hit structure
1:696436 C23H47N5O6
hit structure
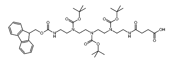
1:696437 C42H61N5O11
hit structure
1:696438 C13H22N2O4S2
hit structure
1:696439 C9H21N3O2
hit structure
1:696440 C16H33N3O4
hit structure
1:696441 C9H21N3O2
hit structure
1:696442 C14H28N2O4S2
hit structure
1:696443 C6H10N4O3
hit structure
1:696444 C11H20N2O5
hit structure
1:696445 C11H24N2O2
hit structure
1:696446 C12H26N2O2
hit structure

1
  <<    <    >    >>  

entries in data collection: 1081080