Home Browse Text SearchFunctional Group SearchStructure SearchPreferences Administration

selected data collection: 1

IRIS SDF: browse content


1
  <<    <    >    >>  

1:695970 C9H17NO5
hit structure
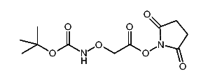
1:695971 C12H24N2O4
hit structure
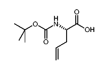
1:695972 C15H21NO4
hit structure
1:695973 C10H16N4O4
hit structure
1:695974 C10H19NO5
hit structure
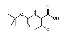
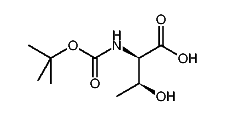
1:695975 C11H19NO4
hit structure
1:695976 C11H19NO4
hit structure
1:695977 C10H16N4O4
hit structure
1:695978 C10H17NO4
hit structure
1:695979 C11H16N2O7
hit structure
1:695980 C11H19NO4
hit structure
1:695981 C11H19NO4
hit structure
1:695982 C12H21NO4
hit structure
1:695983 C12H21NO4
hit structure
1:695984 C12H21NO4
hit structure
1:695985 C12H21NO4
hit structure
1:695986 C12H21NO4
hit structure
1:695987 C12H21NO4
hit structure
1:695988 C16H29NO5
hit structure
1:695989 C16H21NO4
hit structure
1:695990 C16H21NO4
hit structure
1:695991 C16H27NO4
hit structure
1:695992 C32H42N2O8
hit structure
1:695993 C32H42N2O8
hit structure
1:695994 C15H21NO4
hit structure

1
  <<    <    >    >>  

entries in data collection: 701020