Home Browse Text SearchFunctional Group SearchStructure SearchPreferences Administration

selected data collection: 1

IRIS SDF: browse content


1
  <<    <    >    >>  

1:695949 C20H23N3O4
hit structure
1:695950 C14H17Cl2NO5
hit structure
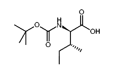
1:695951 C16H31NO4
hit structure
1:695952 C17H33NO4
hit structure
1:695953 C25H28N2O6
hit structure
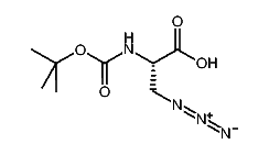
1:695954 C9H16N4O4
hit structure
1:695955 C9H16N4O4
hit structure
1:695956 C11H20N4O4
hit structure
1:695957 C11H20N4O4
hit structure
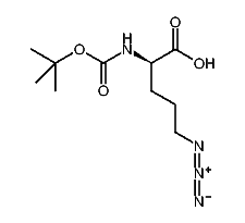
1:695958 C8H14N4O4
hit structure
1:695959 C8H14N4O4
hit structure
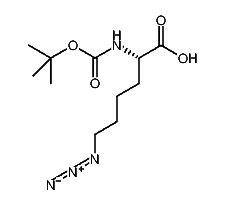
1:695960 C10H18N4O4
hit structure
1:695961 C10H18N4O4
hit structure
1:695962 C12H21NO7
hit structure
1:695963 C13H18N2O4
hit structure
1:695964 C14H18N4O4
hit structure
1:695965 C14H18N4O4
hit structure
1:695966 C13H17N3O6S2
hit structure
1:695967 C12H19N3O4
hit structure
1:695968 C12H19N3O4
hit structure
1:695969 C11H21NO4
hit structure
1:695970 C9H17NO5
hit structure
1:695971 C12H24N2O4
hit structure
1:695972 C15H21NO4
hit structure
1:695973 C10H16N4O4
hit structure

1
  <<    <    >    >>  

entries in data collection: 1173060