Home Browse Text SearchFunctional Group SearchStructure SearchPreferences Administration

selected data collection: 1

IRIS SDF: browse content


1
  <<    <    >    >>  

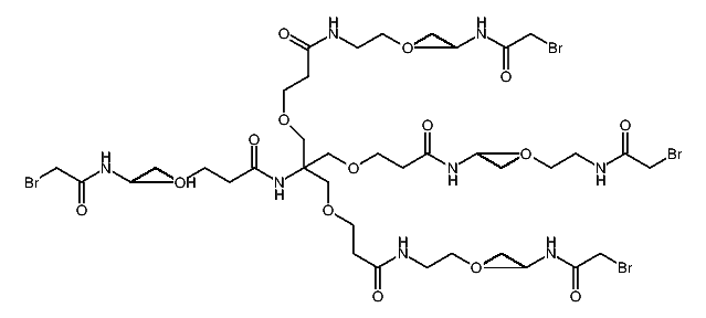
1:694255 C120H230Br4N8O56
hit structure
1:694256 C53H108N2O25
hit structure
1:694257 C26H45NO15
hit structure
1:694258 C58H109NO31
hit structure
1:694259 C67H117F4N3O28S
hit structure
1:694260 C31H44F4N4O9S
hit structure
1:694261 C47H76F4N4O17S
hit structure
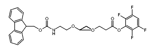
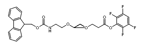
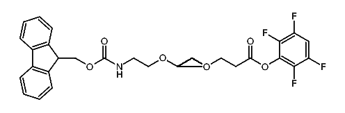
1:694262 C32H33F4NO8
hit structure
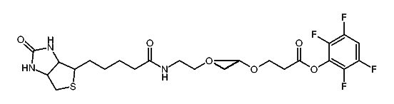
1:694263 C40H49F4NO12
hit structure
1:694264 C48H65F4NO16
hit structure
1:694265 C72H113F4NO28
hit structure
1:694266 C96H161F4NO40
hit structure
1:694267 C18H35NO8
hit structure
1:694268 C13H28N2O5
hit structure
1:694269 C15H32N2O6
hit structure
1:694270 C72H132N2O34S2
hit structure
1:694271 C9H20N2O3
hit structure
1:694272 C6H13NO4
hit structure
1:694273 C6H10KN3O4
hit structure
1:694274 C32H53N7O8S
hit structure
1:694275 C38H57N9O9S
hit structure
1:694276 C32H50N4O8S
hit structure
1:694277 C27H49N7O7S
hit structure
1:694278 C27H42N8O7S
hit structure
1:694279 C24H40N4O7S
hit structure

1
  <<    <    >    >>  

entries in data collection: 712280