Home Browse Text SearchFunctional Group SearchStructure SearchPreferences Administration

selected data collection: 1

IRIS SDF: browse content


1
  <<    <    >    >>  

1:694105 C37H45F4N5O13
hit structure
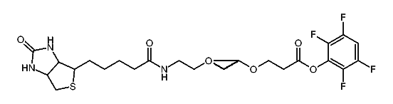
1:694106 C43H69F4N3O16S
hit structure
1:694107 C18H34N4O6S
hit structure
1:694108 C14H26N4O6
hit structure
1:694109 C25H30N2O8
hit structure
1:694110 C59H116NO17P
hit structure
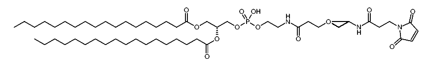
1:694111 C75H140N3O24P
hit structure
1:694112 C25H44N4O8S
hit structure
1:694113 C10H18N4O5
hit structure
1:694114 C10H21N3O5
hit structure
1:694115 C16H34O8S
hit structure
1:694116 C10H22N4O4
hit structure
1:694117 C4H9N3O2
hit structure
1:694118 C4H9N3O2
hit structure
1:694119 C4H9N3O2
hit structure
1:694120 C4H9N3O2
hit structure
1:694121 C21H25NO5
hit structure
1:694122 C23H29NO6
hit structure
1:694123 C21H33NO8
hit structure
1:694124 C10H19N3O4
hit structure
1:694125 C8H15N3O5
hit structure
1:694126 C18H27NO9
hit structure
1:694127 C11H21NO4
hit structure
1:694128 C18H26N2O7
hit structure
1:694129 C4H10O2S
hit structure

1
  <<    <    >    >>  

entries in data collection: 717910