Home Browse Text SearchFunctional Group SearchStructure SearchPreferences Administration

selected data collection: 1

IRIS SDF: browse content


1
  <<    <    >    >>  

1:694030 C26H50N4O9S
hit structure
1:694031 C34H66N4O13S
hit structure
1:694032 C58H114N4O25S
hit structure
1:694033 C65H119N5O28S
hit structure
1:694034 C26H48N6O9S
hit structure
1:694035 C34H64N6O13S
hit structure
1:694036 C58H112N6O25S
hit structure
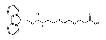
1:694037 C24H29NO7
hit structure
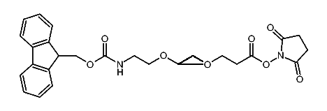
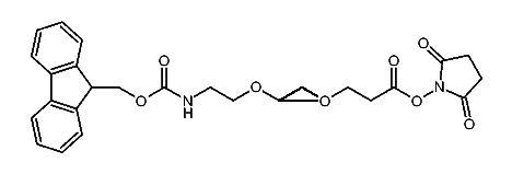
1:694038 C28H37NO9
hit structure
1:694039 C90H161NO40
hit structure
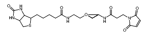
1:694040 C30H36N2O10
hit structure
1:694041 C38H52N2O14
hit structure
1:694042 C46H68N2O18
hit structure
1:694043 C42H59N5O11S
hit structure
1:694044 C58H91N5O19S
hit structure
1:694045 C56H111NO28
hit structure
1:694046 C80H159NO40
hit structure
1:694047 C83H157NO40
hit structure
1:694048 C47H70O15S
hit structure
1:694049 C39H60N2O19
hit structure
1:694050 C26H29NO4
hit structure
1:694051 C29H60N2O14
hit structure
1:694052 C34H66N4O14S
hit structure
1:694053 C41H59F4NO16
hit structure
1:694054 C65H107F4NO28
hit structure

1
  <<    <    >    >>  

entries in data collection: 717910