Home Browse Text SearchFunctional Group SearchStructure SearchPreferences Administration

selected data collection: 1

IRIS SDF: browse content


1
  <<    <    >    >>  

1:689411 C43H42N2O6
hit structure
1:689412 C44H44N2O6
hit structure
1:689413 C49H46N2O6
hit structure
1:689414 C41H38N2O5
hit structure
1:689415 C52H47N3O7
hit structure
1:689416 C27H29NO5
hit structure
1:689417 C43H52N4O8S
hit structure
1:689418 C44H54N4O8S
hit structure
1:689419 C47H44N2O6
hit structure
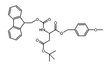
1:689420 C32H37NO7
hit structure
1:689421 C46H43NO5S
hit structure
1:689422 C30H34N2O6S
hit structure
1:689423 C31H37NO5S
hit structure
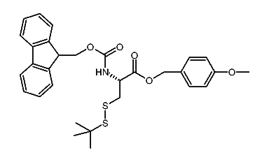
1:689424 C31H37NO5S2
hit structure
1:689425 C48H46N2O6
hit structure
1:689426 C33H39NO7
hit structure
1:689427 C26H27NO5
hit structure
1:689428 C49H45N3O5
hit structure
1:689429 C30H35NO5
hit structure
1:689430 C30H35NO5
hit structure
1:689431 C35H44N2O7
hit structure
1:689432 C29H33NO5S
hit structure
1:689433 C30H35NO5
hit structure
1:689434 C34H42N2O7
hit structure
1:689435 C33H33NO5
hit structure

1
  <<    <    >    >>  

entries in data collection: 701020