Home Browse Text SearchFunctional Group SearchStructure SearchPreferences Administration

selected data collection: 1

IRIS SDF: browse content


1
  <<    <    >    >>  

1:689111 C57H62N6O5S
hit structure
1:689112 C27H21N3O7S2
hit structure
1:689113 C29H39N9O4S
hit structure
1:689114 C28H39N7O4S
hit structure
1:689115 C22H26F5N3O4S
hit structure
1:689116 C8H10S2
hit structure
1:689117 C15H16N2O3S2
hit structure
1:689118 C10H12O5S
hit structure
1:689119 C26H27F4N4NaO10S
hit structure
1:689120 C7H14N2
hit structure
1:689121 C15H12N5NaO7S
hit structure
1:689122 C20H18N2O3S2
hit structure
1:689123 C18H18N6O2
hit structure
1:689124 C27H36N6O7
hit structure
1:689125 C10H10N2O3
hit structure
1:689126 C19H23N9O2
hit structure
1:689127 C24H33N9O6
hit structure
1:689128 C12H21N5O4
hit structure
1:689129 C20H19N7O4
hit structure
1:689130 C31H40N8O9
hit structure
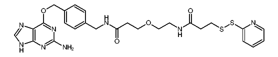
1:689131 C21H21N7O2S2
hit structure
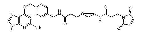
1:689132 C26H30N8O4S2
hit structure
1:689133 C34H31N7O3
hit structure
1:689134 C24H22N2O2
hit structure
1:689135 C23H21F9N4O4S
hit structure

1
  <<    <    >    >>  

entries in data collection: 701020