Home Browse Text SearchFunctional Group SearchStructure SearchPreferences Administration

selected data collection: 1

IRIS SDF: browse content


1
  <<    <    >    >>  

1:689061 C13H19N3O3
hit structure
1:689062 C11H15N5O4
hit structure
1:689063 C15H25N3O4S3
hit structure
1:689064 C23H26N2O5S2
hit structure
1:689065 C10H18N4O3S2
hit structure
1:689066 C10H15NO3S2
hit structure
1:689067 C53H59N3O5S
hit structure
1:689068 C53H60N4O4S
hit structure
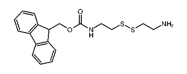
1:689069 C19H22N2O2S2
hit structure
1:689070 C14H26N4O2S3
hit structure
1:689071 C9H12N2O4
hit structure
1:689072 C7H8N2O2
hit structure
1:689073 C17H21N3O8
hit structure
1:689074 C10H12N2O6
hit structure
1:689075 C15H21NO4
hit structure
1:689076 C28H31N3O8
hit structure
1:689077 C12H18N4O4
hit structure
1:689078 C13H19N3O2S
hit structure
1:689079 C14H12N2O5S2
hit structure
1:689080 C9H19NO3S2
hit structure
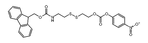
1:689081 C16H22N2O7S2
hit structure
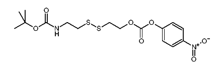
1:689082 C19H21NO3S2
hit structure
1:689083 C26H24N2O7S2
hit structure
1:689084 C19H14N2O5S2
hit structure
1:689085 C14H21NO3S2
hit structure

1
  <<    <    >    >>  

entries in data collection: 701020