Home Browse Text SearchFunctional Group SearchStructure SearchPreferences Administration

selected data collection: 1

IRIS SDF: browse content


1
  <<    <    >    >>  

1:688986 C6H7N3O4
hit structure
1:688987 C11H10N4O2
hit structure
1:688988 C20H28N4O7
hit structure
1:688989 C15H13N5O4
hit structure
1:688990 C24H31N5O9
hit structure
1:688991 C24H30N6O7
hit structure
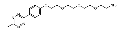
1:688992 C10H11N5
hit structure
1:688993 C17H25N5O4
hit structure
1:688994 C29H37N3O6
hit structure
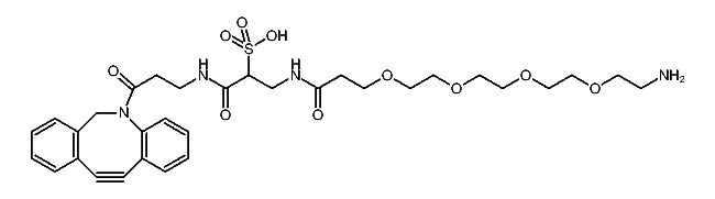
1:688995 C32H42N4O10S
hit structure
1:688996 C21H19NO3
hit structure
1:688997 C25H22N2O5
hit structure
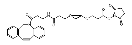
1:688998 C32H40N2O9
hit structure
1:688999 C36H43N3O11
hit structure
1:689000 C59H69N3O14S3
hit structure
1:689001 C25H21N3O4
hit structure
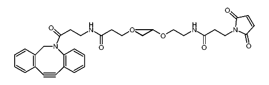
1:689002 C36H42N4O9
hit structure
1:689003 C29H36N2O6
hit structure
1:689004 C39H51N5O8S
hit structure
1:689005 C26H30N2O4
hit structure
1:689006 C26H30N2O4
hit structure
1:689007 C26H30N2O4
hit structure
1:689008 C26H30N2O4
hit structure
1:689009 C9H6N4O2
hit structure
1:689010 C15H10N2O6
hit structure

1
  <<    <    >    >>  

entries in data collection: 706650