Home Browse Text SearchFunctional Group SearchStructure SearchPreferences Administration

selected data collection: 1

IRIS SDF: browse content


1
  <<    <    >    >>  

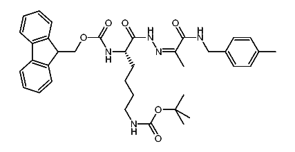
1:688711 C25H27N3O7
hit structure
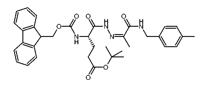
1:688712 C13H19N3O5
hit structure
1:688713 C96H161N21O24
hit structure
1:688714 C91H158N26O26
hit structure
1:688715 C180H311N51O51
hit structure
1:688716 C185H318N51O59P
hit structure
1:688717 C89H156N26O25
hit structure
1:688718 C178H309N51O50
hit structure
1:688719 C183H316N51O58P
hit structure
1:688720 C156H261N41O44
hit structure
1:688721 C185H314N52O53
hit structure
1:688722 C26H25N3O3
hit structure
1:688723 C29H30N4O4
hit structure
1:688724 C45H53N7O7S
hit structure
1:688725 C49H45N5O5
hit structure
1:688726 C34H38N4O6
hit structure
1:688727 C48H44N4O4S
hit structure
1:688728 C35H40N4O6
hit structure
1:688729 C50H47N5O5
hit structure
1:688730 C28H28N4O4
hit structure
1:688731 C51H46N6O4
hit structure
1:688732 C33H38N4O4
hit structure
1:688733 C32H36N4O4
hit structure
1:688734 C37H45N5O6
hit structure
1:688735 C31H34N4O4S
hit structure

1
  <<    <    >    >>  

entries in data collection: 706650