Home Browse Text SearchFunctional Group SearchStructure SearchPreferences Administration

selected data collection: 1

IRIS SDF: browse content


1
  <<    <    >    >>  

1:688486 C10H22N4O4
hit structure
1:688487 C4H9N3O2
hit structure
1:688488 C4H9N3O2
hit structure
1:688489 C4H9N3O2
hit structure
1:688490 C4H9N3O2
hit structure
1:688491 C21H25NO5
hit structure
1:688492 C23H29NO6
hit structure
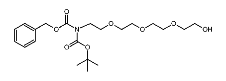
1:688493 C21H33NO8
hit structure
1:688494 C10H19N3O4
hit structure
1:688495 C8H15N3O5
hit structure
1:688496 C18H27NO9
hit structure
1:688497 C11H21NO4
hit structure
1:688498 C18H26N2O7
hit structure
1:688499 C4H10O2S
hit structure
1:688500 C4H10O2S
hit structure
1:688501 C4H10O2S
hit structure
1:688502 C15H20N2O5
hit structure
1:688503 C15H20N2O5
hit structure
1:688504 C15H20N2O5
hit structure
1:688505 C15H20N2O5
hit structure
1:688506 C20H30N4O6S
hit structure
1:688507 C20H30N4O6S
hit structure
1:688508 C20H30N4O6S
hit structure
1:688509 C20H30N4O6S
hit structure
1:688510 C10H15NO5
hit structure

1
  <<    <    >    >>  

entries in data collection: 712280