Home Browse Text SearchFunctional Group SearchStructure SearchPreferences Administration

selected data collection: 1

IRIS SDF: browse content


1
  <<    <    >    >>  

1:688348 C47H96O24
hit structure
1:688349 C73H148O37
hit structure
1:688350 C31H65NO15
hit structure
1:688351 C73H149NO36
hit structure
1:688352 C97H197NO48
hit structure
1:688353 C75H151NO38
hit structure
1:688354 C80H154N2O39
hit structure
1:688355 C104H202N2O51
hit structure
1:688356 C178H346N6O86
hit structure
1:688357 C73H147N3O36
hit structure
1:688358 C27H54O14S
hit structure
1:688359 C9H20O4S
hit structure
1:688360 C17H36O8S
hit structure
1:688361 C25H52O12S
hit structure
1:688362 C19H35NO7S2
hit structure
1:688363 C27H51NO11S2
hit structure
1:688364 C59H115NO27S2
hit structure
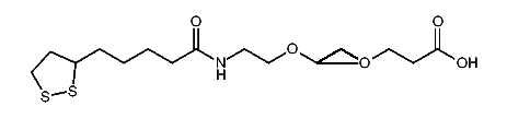
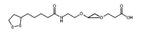
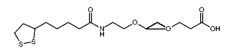
1:688365 C25H41N3O7S2
hit structure
1:688366 C39H69N3O15S2
hit structure
1:688367 C28H50N4O6S3
hit structure
1:688368 C42H78N4O14S3
hit structure
1:688369 C17H33NO5S2
hit structure
1:688370 C25H49NO9S2
hit structure
1:688371 C33H65NO13S2
hit structure
1:688372 C57H113NO25S2
hit structure

1
  <<    <    >    >>  

entries in data collection: 712280