Home Browse Text SearchFunctional Group SearchStructure SearchPreferences Administration

selected data collection: 1

IRIS SDF: browse content


1
  <<    <    >    >>  

1:688248 C27H37F4N7O6S
hit structure
1:688249 C27H37F4N3O8S
hit structure
1:688250 C30H52N6O7S2
hit structure
1:688251 C38H62N4O17
hit structure
1:688252 C10H20O5S
hit structure
1:688253 C11H14F3N3O5
hit structure
1:688254 C20H38N4O5S
hit structure
1:688255 C25H35NO11
hit structure
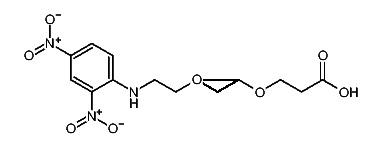
1:688256 C34H60N2O17
hit structure
1:688257 C7H7NO4
hit structure
1:688258 C17H25N3O10
hit structure
1:688259 C21H28N4O12
hit structure
1:688260 C31H39NO6
hit structure
1:688261 C23H33N3O9S2
hit structure
1:688262 C31H49N3O13S2
hit structure
1:688263 C39H65N3O17S2
hit structure
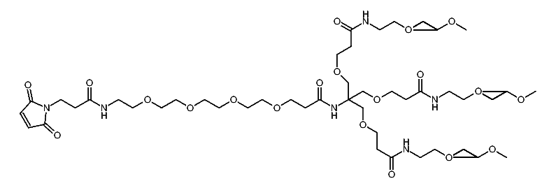
1:688264 C63H113N3O29S2
hit structure
1:688265 C33H57N3O18
hit structure
1:688266 C37H60N4O20
hit structure
1:688267 C58H106N6O26
hit structure
1:688268 C11H21N3O6
hit structure
1:688269 C16H34N4O7
hit structure
1:688270 C19H38O9
hit structure
1:688271 C31H62O15
hit structure
1:688272 C55H110O27
hit structure

1
  <<    <    >    >>  

entries in data collection: 712280