Home Browse Text SearchFunctional Group SearchStructure SearchPreferences Administration

selected data collection: 1

IRIS SDF: browse content


1
  <<    <    >    >>  

1:687798 C27H38D6O2
hit structure
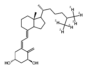
1:687799 C27H40D6O2
hit structure
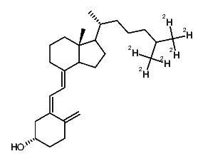
1:687800 C27H38D6O
hit structure
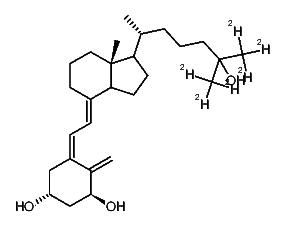
1:687801 C27H38D6O2
hit structure
1:687802 C27H38D6O3
hit structure
1:687803 C27H41D3O
hit structure
1:687804 C27H38D6O
hit structure
1:687805 C27H40D6O
hit structure
1:687806 C28H38D6O2
hit structure
1:687807 C28H38D6O2
hit structure
1:687808 C28H38D6O3
hit structure
1:687809 C28H41D3O
hit structure
1:687810 C28H38D6O
hit structure
1:687811 C29H47D3O2
hit structure
1:687812 C29H44D6O2
hit structure
1:687813 C31H46D6O3
hit structure
1:687814 C29H41D9O2
hit structure
1:687815 C31H43D9O3
hit structure
1:687816 C16H25ClN2O4
hit structure
1:687817 C15H27N5O5
hit structure
1:687818 C40H78N12O12S
hit structure
1:687819 C34H63N5O9
hit structure
1:687820 C34H55N5O9S3
hit structure
1:687821 C21H25N5O5
hit structure
1:687822 C13H20N2O2S2
hit structure

1
  <<    <    >    >>  

entries in data collection: 706650