Home Browse Text SearchFunctional Group SearchStructure SearchPreferences Administration

selected data collection: 1

IRIS SDF: browse content


1
  <<    <    >    >>  

1:687273 C7H13NO2
hit structure
1:687274 C16H30N2O4
hit structure
1:687275 C14H22N2O4
hit structure
1:687276 C14H22N2O4
hit structure
1:687277 C18H30N2O4
hit structure
1:687278 C6H13NO2
hit structure
1:687279 C7H15NO2
hit structure
1:687280 C8H17NO2
hit structure
1:687281 C9H19NO2
hit structure
1:687282 C7H15NO2
hit structure
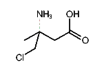
1:687283 C5H10ClNO2
hit structure
1:687284 C6H11NO2
hit structure
1:687285 C9H17NO2
hit structure
1:687286 C10H19NO2
hit structure
1:687287 C7H15NO2
hit structure
1:687288 C7H13NO2
hit structure
1:687289 C7H13NO3
hit structure
1:687290 C5H9NO2
hit structure
1:687291 C6H11NO2
hit structure
1:687292 C9H11NO2
hit structure
1:687293 C9H11NO2
hit structure
1:687294 C14H21N7O4
hit structure
1:687295 C6H10F3NO2
hit structure
1:687296 C12H12F3NO3
hit structure
1:687297 C12H12F3NO3
hit structure

1
  <<    <    >    >>  

entries in data collection: 695390