Home Browse Text SearchFunctional Group SearchStructure SearchPreferences Administration

selected data collection: 1

IRIS SDF: browse content


1
  <<    <    >    >>  

1:686823 C15H13NO3
hit structure
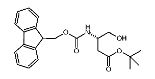
1:686824 C19H21NO4
hit structure
1:686825 C17H19NO3
hit structure
1:686826 C23H27NO5
hit structure
1:686827 C24H29NO5
hit structure
1:686828 C26H34N2O5
hit structure
1:686829 C19H22N2O3
hit structure
1:686830 C20H20N2O5
hit structure
1:686831 C23H24N2O5
hit structure
1:686832 C40H35N3O6
hit structure
1:686833 C19H18N2O5
hit structure
1:686834 C22H22N2O5
hit structure
1:686835 C23H26N2O5
hit structure
1:686836 C26H30N2O5
hit structure
1:686837 C23H26N2O5
hit structure
1:686838 C26H30N2O5
hit structure
1:686839 C31H39N3O7
hit structure
1:686840 C26H24N2O5
hit structure
1:686841 C29H28N2O5
hit structure
1:686842 C22H22N2O5
hit structure
1:686843 C25H26N2O5
hit structure
1:686844 C24H28N2O6
hit structure
1:686845 C27H32N2O6
hit structure
1:686846 C25H30N2O6
hit structure
1:686847 C31H29N3O5
hit structure

1
  <<    <    >    >>  

entries in data collection: 689760