Home Browse Text SearchFunctional Group SearchStructure SearchPreferences Administration

selected data collection: 1

IRIS SDF: browse content


1
  <<    <    >    >>  

1:685463 C24H18F3NO4
hit structure
1:685464 C26H21ClN2O4
hit structure
1:685465 C22H24N2O5
hit structure
1:685466 C44H37NO4S
hit structure
1:685467 C25H24N2O6S
hit structure
1:685468 C34H30F3NO7S
hit structure
1:685469 C39H42N4O7S
hit structure
1:685470 C23H27NO5
hit structure
1:685471 C30H32BNO6
hit structure
1:685472 C34H39BN2O7
hit structure
1:685473 C28H28N2O6
hit structure
1:685474 C45H62N10O13
hit structure
1:685475 C51H72N12O15
hit structure
1:685476 C29H32N2O6
hit structure
1:685477 C25H29NO6
hit structure
1:685478 C26H31NO6
hit structure
1:685479 C27H33NO6
hit structure
1:685480 C25H27NO4
hit structure
1:685481 C28H27NO4
hit structure
1:685482 C28H27NO4
hit structure
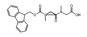
1:685483 C18H17NO4
hit structure
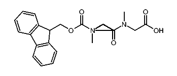
1:685484 C18H17NO4
hit structure
1:685485 C34H40N4O7S
hit structure
1:685486 C36H41F3N4O7S
hit structure
1:685487 C38H32N2O5
hit structure

1
  <<    <    >    >>  

entries in data collection: 689760