Home Browse Text SearchFunctional Group SearchStructure SearchPreferences Administration

selected data collection: 1

IRIS SDF: browse content


1
  <<    <    >    >>  

1:685288 C38H45N3O7S
hit structure
1:685289 C42H45N3O7
hit structure
1:685290 C40H49N3O8
hit structure
1:685291 C41H51N3O8
hit structure
1:685292 C46H53N3O8
hit structure
1:685293 C38H45N3O7
hit structure
1:685294 C52H64N6O10S
hit structure
1:685295 C8H11N
hit structure
1:685296 C15H21NO4
hit structure
1:685297 C11H17NO
hit structure
1:685298 C15H21NO4
hit structure
1:685299 C11H17NO
hit structure
1:685300 C11H15BrO
hit structure
1:685301 C17H25NO3
hit structure
1:685302 C18H30O5
hit structure
1:685303 C19H22O4
hit structure
1:685304 C18H20O3
hit structure
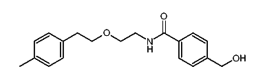
1:685305 C19H23NO3
hit structure
1:685306 C43H44N2O7
hit structure
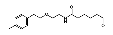
1:685307 C16H22O4
hit structure
1:685308 C11H16OS
hit structure
1:685309 C31H31NO3
hit structure
1:685310 C18H22O3
hit structure
1:685311 C11H15BrO
hit structure
1:685312 C17H25NO3
hit structure

1
  <<    <    >    >>  

entries in data collection: 695390