Home Browse Text SearchFunctional Group SearchStructure SearchPreferences Administration

selected data collection: 1

IRIS SDF: browse content


1
  <<    <    >    >>  

1:684988 C22H25NO4S
hit structure
1:684989 C13H18N2O4
hit structure
1:684990 C14H25NO6
hit structure
1:684991 C20H22N2O6
hit structure
1:684992 C18H22N2O6
hit structure
1:684993 C14H20N2O6
hit structure
1:684994 C10H15NO5
hit structure
1:684995 C9H18N2O4
hit structure
1:684996 C13H16N2O6
hit structure
1:684997 C16H21N3O7
hit structure
1:684998 C23H26N2O8
hit structure
1:684999 C21H26N2O8
hit structure
1:685000 C17H24N2O6
hit structure
1:685001 C15H24N2O6
hit structure
1:685002 C13H26N2O4
hit structure
1:685003 C17H24N2O6
hit structure
1:685004 C15H24N2O6
hit structure
1:685005 C22H33N3O8
hit structure
1:685006 C13H21F3N2O5
hit structure
1:685007 C18H28N2O6S
hit structure
1:685008 C12H23NO4
hit structure
1:685009 C16H22N2O6S
hit structure
1:685010 C14H22N2O6S
hit structure
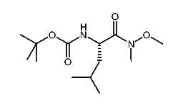
1:685011 C18H27NO4S
hit structure
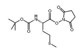
1:685012 C15H21NO4
hit structure

1
  <<    <    >    >>  

entries in data collection: 701020