Home Browse Text SearchFunctional Group SearchStructure SearchPreferences Administration

selected data collection: 1

IRIS SDF: browse content


1
  <<    <    >    >>  

1:684638 C26H32N2O6
hit structure
1:684639 C22H34N2O6
hit structure
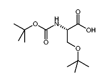
1:684640 C10H19NO5S
hit structure
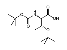
1:684641 C11H21NO4
hit structure
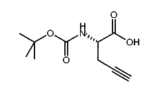
1:684642 C10H19NO4
hit structure
1:684643 C18H25ClN2O6
hit structure
1:684644 C14H18ClNO4
hit structure
1:684645 C14H18FNO4
hit structure
1:684646 C14H17Cl2NO4
hit structure
1:684647 C14H17F2NO4
hit structure
1:684648 C14H18ClNO4
hit structure
1:684649 C14H18INO4
hit structure
1:684650 C14H18BrNO4
hit structure
1:684651 C14H18ClNO4
hit structure
1:684652 C15H21NO4
hit structure
1:684653 C14H20N2O4
hit structure
1:684654 C29H30N2O6
hit structure
1:684655 C22H26N2O6
hit structure
1:684656 C14H18N2O6
hit structure
1:684657 C14H14F5NO4
hit structure
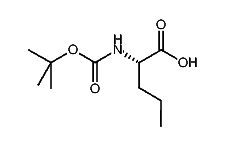
1:684658 C10H15NO4
hit structure
1:684659 C12H23NO5
hit structure
1:684660 C13H25NO5
hit structure
1:684661 C21H23Cl2NO5
hit structure
1:684662 C14H17I2NO5
hit structure

1
  <<    <    >    >>  

entries in data collection: 706650