Home Browse Text SearchFunctional Group SearchStructure SearchPreferences Administration

selected data collection: 1

IRIS SDF: browse content


1
  <<    <    >    >>  

1:683438 C53H60N4O4S
hit structure
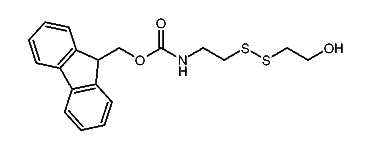
1:683439 C19H22N2O2S2
hit structure
1:683440 C14H26N4O2S3
hit structure
1:683441 C9H12N2O4
hit structure
1:683442 C7H8N2O2
hit structure
1:683443 C17H21N3O8
hit structure
1:683444 C10H12N2O6
hit structure
1:683445 C15H21NO4
hit structure
1:683446 C28H31N3O8
hit structure
1:683447 C12H18N4O4
hit structure
1:683448 C13H19N3O2S
hit structure
1:683449 C14H12N2O5S2
hit structure
1:683450 C9H19NO3S2
hit structure
1:683451 C16H22N2O7S2
hit structure
1:683452 C19H21NO3S2
hit structure
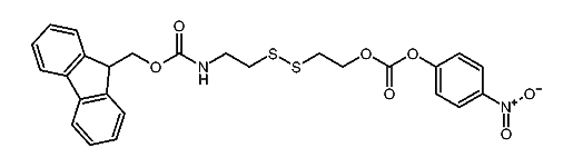
1:683453 C26H24N2O7S2
hit structure
1:683454 C19H14N2O5S2
hit structure
1:683455 C14H21NO3S2
hit structure
1:683456 C21H24N2O7S2
hit structure
1:683457 C24H23NO3S2
hit structure
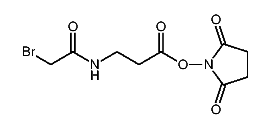
1:683458 C9H11BrN2O5
hit structure
1:683459 C8H14N2O2S
hit structure
1:683460 C24H20N2O7S
hit structure
1:683461 C16H32ClN3O5
hit structure
1:683462 C9H9N3O2
hit structure

1
  <<    <    >    >>  

entries in data collection: 684130