Home Browse Text SearchFunctional Group SearchStructure SearchPreferences Administration

selected data collection: 1

IRIS SDF: browse content


1
  <<    <    >    >>  

1:683090 C156H261N41O44
hit structure
1:683091 C185H314N52O53
hit structure
1:683092 C26H25N3O3
hit structure
1:683093 C29H30N4O4
hit structure
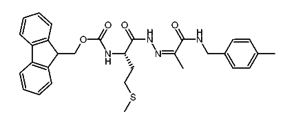
1:683094 C45H53N7O7S
hit structure
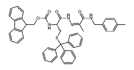
1:683095 C49H45N5O5
hit structure
1:683096 C34H38N4O6
hit structure
1:683097 C48H44N4O4S
hit structure
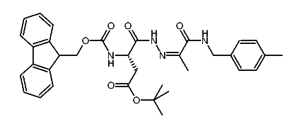
1:683098 C35H40N4O6
hit structure
1:683099 C50H47N5O5
hit structure
1:683100 C28H28N4O4
hit structure
1:683101 C51H46N6O4
hit structure
1:683102 C33H38N4O4
hit structure
1:683103 C32H36N4O4
hit structure
1:683104 C37H45N5O6
hit structure
1:683105 C31H34N4O4S
hit structure
1:683106 C35H34N4O4
hit structure
1:683107 C31H32N4O4
hit structure
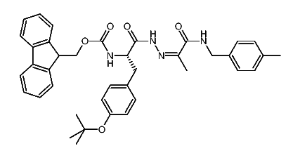
1:683108 C33H38N4O5
hit structure
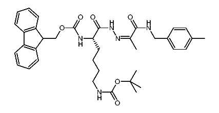
1:683109 C34H40N4O5
hit structure
1:683110 C42H43N5O6
hit structure
1:683111 C39H42N4O5
hit structure
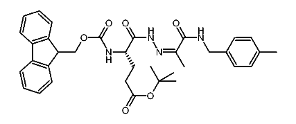
1:683112 C31H34N4O4
hit structure
1:683113 C23H22ClNO2
hit structure
1:683114 C23H22ClNO2
hit structure

1
  <<    <    >    >>  

entries in data collection: 684130