Home Browse Text SearchFunctional Group SearchStructure SearchPreferences Administration

selected data collection: 1

IRIS SDF: browse content


1
  <<    <    >    >>  

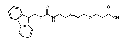
1:683014 C32H53N7O8S
hit structure
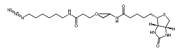
1:683015 C38H57N9O9S
hit structure
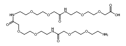
1:683016 C32H50N4O8S
hit structure
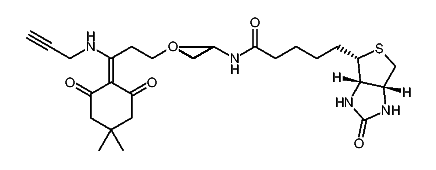
1:683017 C27H49N7O7S
hit structure
1:683018 C27H42N8O7S
hit structure
1:683019 C24H40N4O7S
hit structure
1:683020 C20H38N4O5S
hit structure
1:683021 C24H46N4O13
hit structure
1:683022 C11H21NO6
hit structure
1:683023 C29H52N8O8S3
hit structure
1:683024 C44H60N6O9S3
hit structure
1:683025 C13H26N4O5
hit structure
1:683026 C14H24O7
hit structure
1:683027 C25H31NO7
hit structure
1:683028 C27H35NO8
hit structure
1:683029 C29H39NO9
hit structure
1:683030 C31H43NO10
hit structure
1:683031 C20H27N3O7S2
hit structure
1:683032 C20H27N3O7S2
hit structure
1:683033 C20H27N3O7S2
hit structure
1:683034 C20H27N3O7S2
hit structure
1:683035 C5H12O3
hit structure
1:683036 C37H33N3O3
hit structure
1:683037 C37H33N3O3
hit structure
1:683038 C38H57NO14
hit structure

1
  <<    <    >    >>  

entries in data collection: 684130