Home Browse Text SearchFunctional Group SearchStructure SearchPreferences Administration

selected data collection: 1

IRIS SDF: browse content


1
  <<    <    >    >>  

1:682964 C50H99BrN4O24
hit structure
1:682965 C10H24N4O5S
hit structure
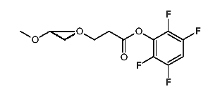
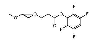
1:682966 C17H22F4O7
hit structure
1:682967 C33H54F4O15
hit structure
1:682968 C57H102F4O27
hit structure
1:682969 C94H149N5O39
hit structure
1:682970 C32H52F4O14
hit structure
1:682971 C56H100F4O26
hit structure
1:682972 C58H104F4O27
hit structure
1:682973 C68H114N2O26
hit structure
1:682974 C45H68N2O14
hit structure
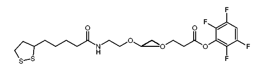
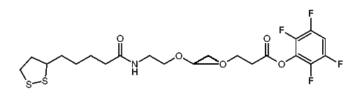
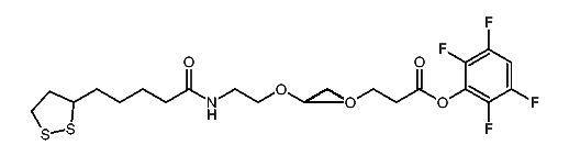
1:682975 C25H35F4NO7S2
hit structure
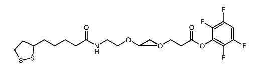
1:682976 C33H51F4NO11S2
hit structure
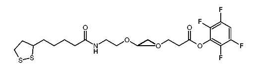
1:682977 C41H67F4NO15S2
hit structure
1:682978 C65H115F4NO27S2
hit structure
1:682979 C89H163F4NO39S2
hit structure
1:682980 C66H126N4O26S3
hit structure
1:682981 C20H20F4N2O7
hit structure
1:682982 C24H28F4N2O9
hit structure
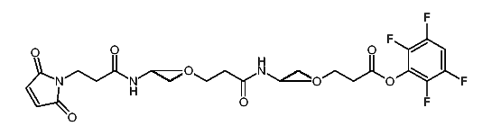
1:682983 C32H44F4N2O13
hit structure
1:682984 C40H60F4N2O17
hit structure
1:682985 C64H108F4N2O29
hit structure
1:682986 C88H156F4N2O41
hit structure
1:682987 C115H209F4N3O54
hit structure
1:682988 C19H24BrF4NO7
hit structure

1
  <<    <    >    >>  

entries in data collection: 684130