Home Browse Text SearchFunctional Group SearchStructure SearchPreferences Administration

selected data collection: 1

IRIS SDF: browse content


1
  <<    <    >    >>  

1:682894 C32H34N2O5S
hit structure
1:682895 C32H34N2O5S
hit structure
1:682896 C32H34N2O5S
hit structure
1:682897 C25H45N3O10S
hit structure
1:682898 C30H36O6S
hit structure
1:682899 C12H25N3O6
hit structure
1:682900 C27H32O4S
hit structure
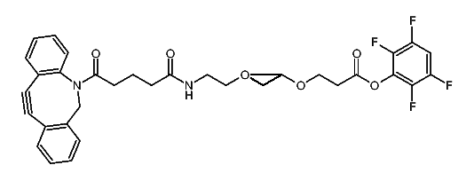
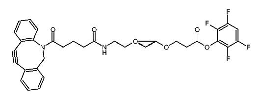
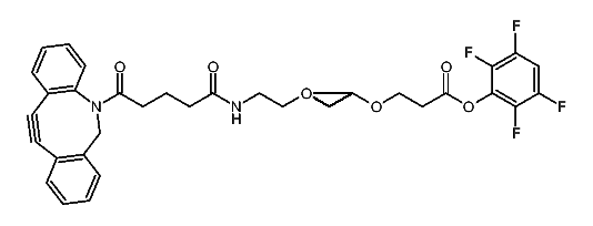
1:682901 C37H38F4N2O8
hit structure
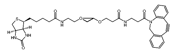
1:682902 C53H70F4N2O16
hit structure
1:682903 C77H118F4N2O28
hit structure
1:682904 C101H166F4N2O40
hit structure
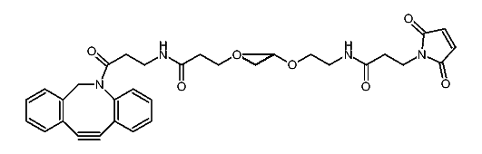
1:682905 C52H74N4O17
hit structure
1:682906 C76H122N4O29
hit structure
1:682907 C31H38BrN3O7
hit structure
1:682908 C25H37N7O6S
hit structure
1:682909 C47H70BrN3O15
hit structure
1:682910 C23H38N4O6S
hit structure
1:682911 C71H118BrN3O27
hit structure
1:682912 C11H17NO5
hit structure
1:682913 C55H83N5O16S
hit structure
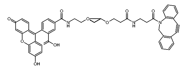
1:682914 C33H45N3O12
hit structure
1:682915 C66H79N3O20
hit structure
1:682916 C13H28N2O5
hit structure
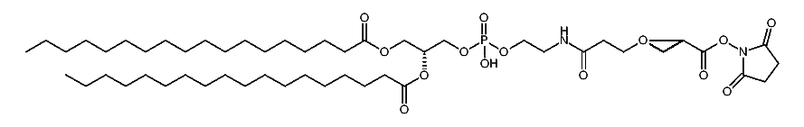
1:682917 C75H141N2O26P
hit structure
1:682918 C45H73F4N5O13
hit structure

1
  <<    <    >    >>  

entries in data collection: 684130