Home Browse Text SearchFunctional Group SearchStructure SearchPreferences Administration

selected data collection: 1

IRIS SDF: browse content


1
  <<    <    >    >>  

1:682844 C31H45N5O13
hit structure
1:682845 C37H45F4N5O13
hit structure
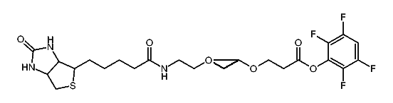
1:682846 C43H69F4N3O16S
hit structure
1:682847 C18H34N4O6S
hit structure
1:682848 C14H26N4O6
hit structure
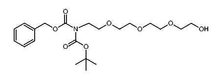
1:682849 C25H30N2O8
hit structure
1:682850 C59H116NO17P
hit structure
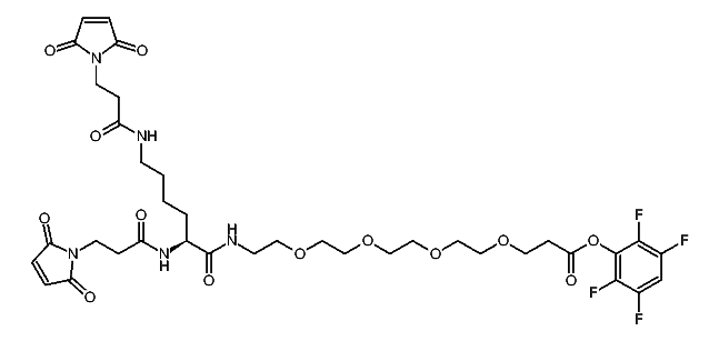
1:682851 C75H140N3O24P
hit structure
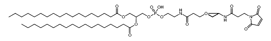
1:682852 C25H44N4O8S
hit structure
1:682853 C10H18N4O5
hit structure
1:682854 C10H21N3O5
hit structure
1:682855 C16H34O8S
hit structure
1:682856 C10H22N4O4
hit structure
1:682857 C4H9N3O2
hit structure
1:682858 C4H9N3O2
hit structure
1:682859 C4H9N3O2
hit structure
1:682860 C4H9N3O2
hit structure
1:682861 C21H25NO5
hit structure
1:682862 C23H29NO6
hit structure
1:682863 C21H33NO8
hit structure
1:682864 C10H19N3O4
hit structure
1:682865 C8H15N3O5
hit structure
1:682866 C18H27NO9
hit structure
1:682867 C11H21NO4
hit structure
1:682868 C18H26N2O7
hit structure

1
  <<    <    >    >>  

entries in data collection: 684130